Compounds
| ID | Spectrum Quality | Annotated Name |
|---|
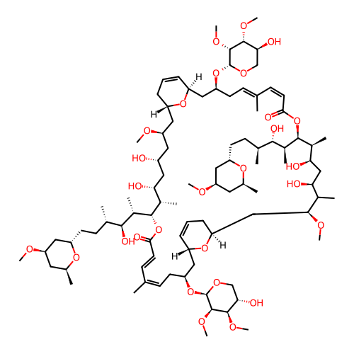
COMPOUND NPA027367
PROPERTIES
| NPAID | NPA027367 |
|---|---|
| CLUSTER ID | 7432 |
| NODE ID | 5083 |
| NAME | Ankaraholide B |
| FORMULA | C91H154O28 |
| MOLECULAR WEIGHT (Da) | 1696.2050 |
| ACCURATE MASS (Da) | 1695.0627 |
| ORIGIN ORGANISM TYPE | Bacterium |
| ORIGIN GENUS | Geitlerinema |
| ORIGIN SPECIES | sp. |
| InChIKey | KMBIYPMGRFQUNL-FJJIQMLRSA-N |
| InChI | InChI=1S/C91H154O28/c1-51-26-32-69(116-90-88(108-18)86(106-16)77(96)49-110-90)42-63-22-20-24-65(114-63)44-73(104-14)40-62(92)41-74(93)58(8)84(60(10)82(100)53(3)30-34-67-45-71(102-12)38-55(5)112-67)118-80(98)36-28-52(2)27-33-70(117-91-89(109-19)87(107-17)78(97)50-111-91)43-64-23-21-25-66(115-64)47-79(105-15)57(7)75(94)48-76(95)59(9)85(119-81(99)37-29-51)61(11)83(101)54(4)31-35-68-46-72(103-13)39-56(6)113-68/h20-23,26-29,36-37,53-79,82-97,100-101H,24-25,30-35,38-50H2,1-19H3/b36-28+,37-29-,51-26+,52-27-/t53-,54-,55-,56-,57?,58-,59-,60-,61-,62+,63-,64-,65-,66-,67-,68-,69-,70-,71+,72+,73+,74+,75-,76+,77-,78-,79-,82-,83-,84-,85-,86+,87+,88+,89+,90+,91+/m0/s1 |
| SMILES | CO[C@H]1C[C@@H]2CC=C[C@@H](C[C@@H](O[C@H]3OC[C@H](O)[C@@H](OC)[C@H]3OC)C/C=C(C)\C=C\C(=O)O[C@H]([C@@H](C)[C@@H](O)[C@@H](C)CC[C@H]3C[C@H](OC)C[C@H](C)O3)[C@@H](C)[C@H](O)C[C@H](O)C[C@@H](OC)C[C@@H]3CC=C[C@@H](C[C@@H](O[C@H]4OC[C@H](O)[C@@H](OC)[C@H]4OC)C/C=C(C)/C=C\C(=O)O[C@H]([C@@H](C)[C@@H](O)[C@@H](C)CC[C@H]4C[C@H](OC)C[C@H](C)O4)[C@@H](C)[C@H](O)C[C@H](O)C1C)O3)O2 |
ORIGINAL ISOLATION REFERENCE
| CITATION | Andrianasolo EH; Gross H; Goeger D; Musafija-Girt M; McPhail K; Leal RM; Mooberry SL; Gerwick WH Isolation of swinholide A and related glycosylated derivatives from two field collections of marine cyanobacteria. Organic Letters 2005 7 (7) 1375-1378. | ||
|---|---|---|---|
| DOI | 10.1021/ol050188x | PMID | 15787510 |
