Compounds
| ID | Spectrum Quality | Annotated Name |
|---|
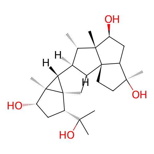
COMPOUND NPA026762
PROPERTIES
| NPAID | NPA026762 |
|---|---|
| CLUSTER ID | 8089 |
| NODE ID | 5488 |
| NAME | Niduterpenoid B |
| FORMULA | C25H40O4 |
| MOLECULAR WEIGHT (Da) | 404.5910 |
| ACCURATE MASS (Da) | 404.2927 |
| ORIGIN ORGANISM TYPE | Fungus |
| ORIGIN GENUS | Aspergillus |
| ORIGIN SPECIES | nidulans |
| InChIKey | PTGRSEKFBBYBMB-NJHNOLDWSA-N |
| InChI | InChI=1S/C25H40O4/c1-12-18-13(24-8-7-21(4,29)15(24)10-16(26)22(12,24)5)11-25-14(20(2,3)28)9-17(27)23(25,6)19(18)25/h12-19,26-29H,7-11H2,1-6H3/t12-,13-,14-,15?,16-,17-,18-,19-,21-,22+,23-,24-,25+/m0/s1 |
| SMILES | C[C@H]1[C@H]2[C@H](C[C@]34[C@H](C(C)(C)O)C[C@H](O)[C@@]3(C)[C@H]24)[C@@]23CC[C@](C)(O)C2C[C@H](O)[C@@]13C |
ORIGINAL ISOLATION REFERENCE
| CITATION | Li, Qin; Chen, Chunmei; Wei, Mengsha; Dai, Chong; Cheng, Li; Tao, Jiafeng; Li, Xiao-Nian; Wang, Jianping; Sun, Weiguang; Zhu, Hucheng; Zhang, Yonghui Niduterpenoids A and B: Two Sesterterpenoids with a Highly Congested Hexacyclic 5/5/5/5/3/5 Ring System from the Fungus Aspergillus nidulans Organic Letters 2019 21 (7) 2290-2293. | ||
|---|---|---|---|
| DOI | 10.1021/acs.orglett.9b00581 | PMID | 30865467 |
