Compounds
| ID | Spectrum Quality | Annotated Name |
|---|
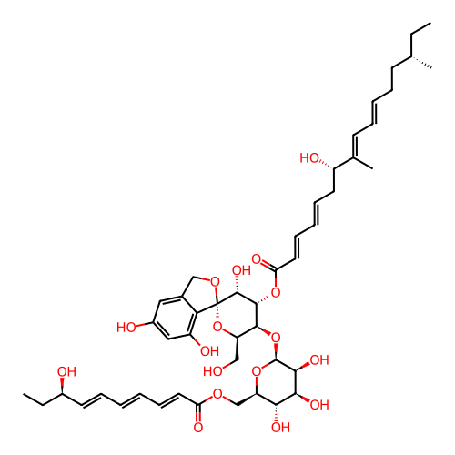
COMPOUND NPA021435
PROPERTIES
| NPAID | NPA021435 |
|---|---|
| CLUSTER ID | 903 |
| NODE ID | 782 |
| NAME | Papulacandin B |
| FORMULA | C47H64O17 |
| MOLECULAR WEIGHT (Da) | 901.0120 |
| ACCURATE MASS (Da) | 900.4144 |
| ORIGIN ORGANISM TYPE | Fungus |
| ORIGIN GENUS | Papularia |
| ORIGIN SPECIES | sphaerosperma |
| InChIKey | UJLFRJFJTPPIOK-YYQKDXRWSA-N |
| InChI | InChI=1S/C47H64O17/c1-5-28(3)17-11-9-12-18-29(4)33(51)20-14-10-16-22-38(54)62-44-43(35(25-48)64-47(45(44)58)39-30(26-60-47)23-32(50)24-34(39)52)63-46-42(57)41(56)40(55)36(61-46)27-59-37(53)21-15-8-7-13-19-31(49)6-2/h7-10,12-16,18-19,21-24,28,31,33,35-36,40-46,48-52,55-58H,5-6,11,17,20,25-27H2,1-4H3/b8-7+,12-9+,14-10+,19-13+,21-15+,22-16+,29-18+/t28-,31+,33-,35+,36+,40+,41-,42-,43-,44+,45+,46-,47-/m0/s1 |
| SMILES | CC[C@H](C)CC/C=C/C=C(\C)/[C@H](C/C=C/C=C/C(=O)O[C@@H]1[C@H]([C@H](O[C@]2([C@@H]1O)C3=C(C=C(C=C3CO2)O)O)CO)O[C@H]4[C@H]([C@H]([C@@H]([C@H](O4)COC(=O)/C=C/C=C/C=C/[C@@H](CC)O)O)O)O)O |
ORIGINAL ISOLATION REFERENCE
| CITATION | Traxler P; Gruner J; Auden JA Papulacandins, a new family of antibiotics with antifungal activity, I. Fermentation, isolation, chemical and biological characterization of papulacandins A, B, C, D and E. Journal of Antibiotics 1977 30 (4) 289-296. | ||
|---|---|---|---|
| DOI | 10.7164/antibiotics.30.289 | PMID | 324958 |
